1) 표준용 표준편과 비교 측정
사람의 촉각,시각으로 비교용 표면거칠기 표준편과 비교하여 측정하고자 하는 표면의 거칠기를 비교하여 측정하는 방법 이다. 1차 가공의 밀링,선반가공의 형상과 비슷한 형상과 2차 가공의 평면,원통연삭가공의 형상등의 시편이 있다.
2) 촉침식 표면거칠기 측정법
가장 많이 사용하는 방법으로 측정면에 수직으로 움직이는 촉침으로 피측정면을 긁어, 촉침의 상하 움직임량을 감응기에서 전기적인 신호로 변환하고, 이를 증폭기에서 증폭시켜 기록계에서 그래프에 그리거나 지시미터에 값을 지시하게 한다
3) 광파간섭식 표면거칠기 측정법
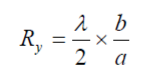
빛의 간섭을 이용하여 가공면의 거칠기를 측정하는 방법으로, 요철의 높이가 1㎛이하의 비교적 미세한 표면의 측정에 사용한다. 파장을 λ라 하고, a는 간섭무늬의 폭, b는 간섭무늬의 휨 량 이라면

이다.

4) 광절단식 표면거칠기 측정법
그림과 같이 피측정물의 방향에 수직인 방향에 대하여 β쪽에서 좁은 틈새로 나온 빛을 투과하여 광선으로 표면을 절단하여 γ방향에서 현미경이나 투영기에 의해서 확대하여 관측하거나 촬영하여 요철의 상태를 알아내는 방법이다.

(5) 표면거칠기의 표시와 다듬질기호 구분
표면기호는 KS 규격에 의하여 표기한다. 표면거칠기의 규격,기준길이 또는 컷 오프 값, 가공방법의 약호, 가공모양의 기호를 표기하며 특별히 필요 없는 것은 생략할 수 있으며 또한 구분치 하한의 값과 그 기준길이 또는 컷 오프의 값은 필요한 경우에만 기입 한다.
a : 표면 거칠기의 구분치 (상한)
a’ : 표면 거칠기의 구분치 (하한)
c : a 에 대한 기준길이 또는 컷오프 값
c’ : a’ 에 대한 기준길이 또는 컷오프 값
X : 가공방법의 약호
Y : 가공모양의 기호

